EasyManua.ls Logo

Dell 3115CN - Page 136

Dell 3115CN
823 pages
Print Icon
To Next Page IconTo Next Page
To Next Page IconTo Next Page
To Previous Page IconTo Previous Page
To Previous Page IconTo Previous Page
Loading...
1‑110
Chapter 1 Troubleshooting
Version 1 2006.11.21
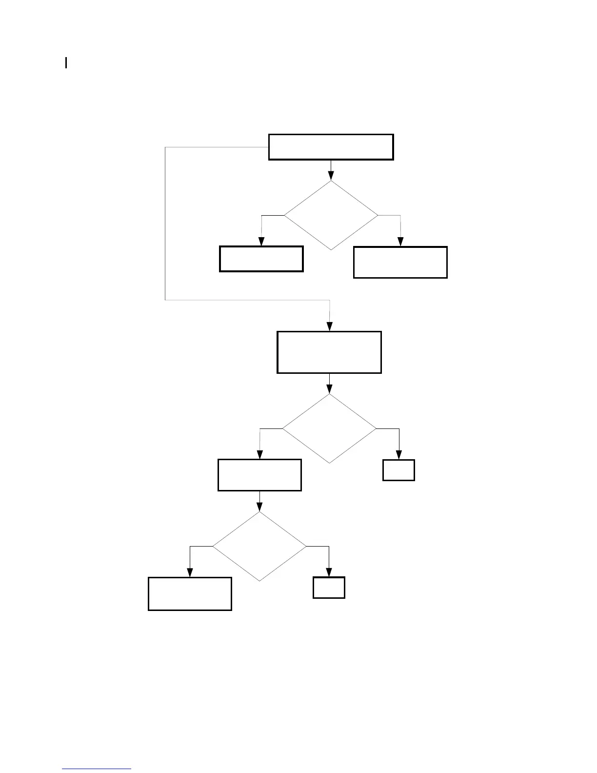
FIP-1. 25 Restart Printer 016-350
Does the error still
occur when printing?
NoYes
Possible causative parts:PWBA ESS (PL13.4.20)
IEEE 1284 Cable
Checking the PC and the cable
Swap the another PC and cable.
Check the PC setting
and disconnection of
the cable
Replace the PWBA
ESS. (RRP9.1)
When there are not substitute
the PC and the cable.
Does the error still
occur when printing?
NoYes
Checking the connector
connection
Reconnect the printer and
the PC with the cable.
Checking after
replacing the cable
Replace the cable.
Does the error still
occur when printing?
NoYes
Replace the PWBA
ESS. (Replacement
61/Removal 61)
END
END

Table of Contents

Other manuals for Dell 3115CN

Related product manuals