EasyManua.ls Logo

Dell 3115CN - Page 329

Dell 3115CN
823 pages
Print Icon
To Next Page IconTo Next Page
To Next Page IconTo Next Page
To Previous Page IconTo Previous Page
To Previous Page IconTo Previous Page
Loading...
1‑303
Chapter 1 Troubleshooting
Version 1 2006.11.21
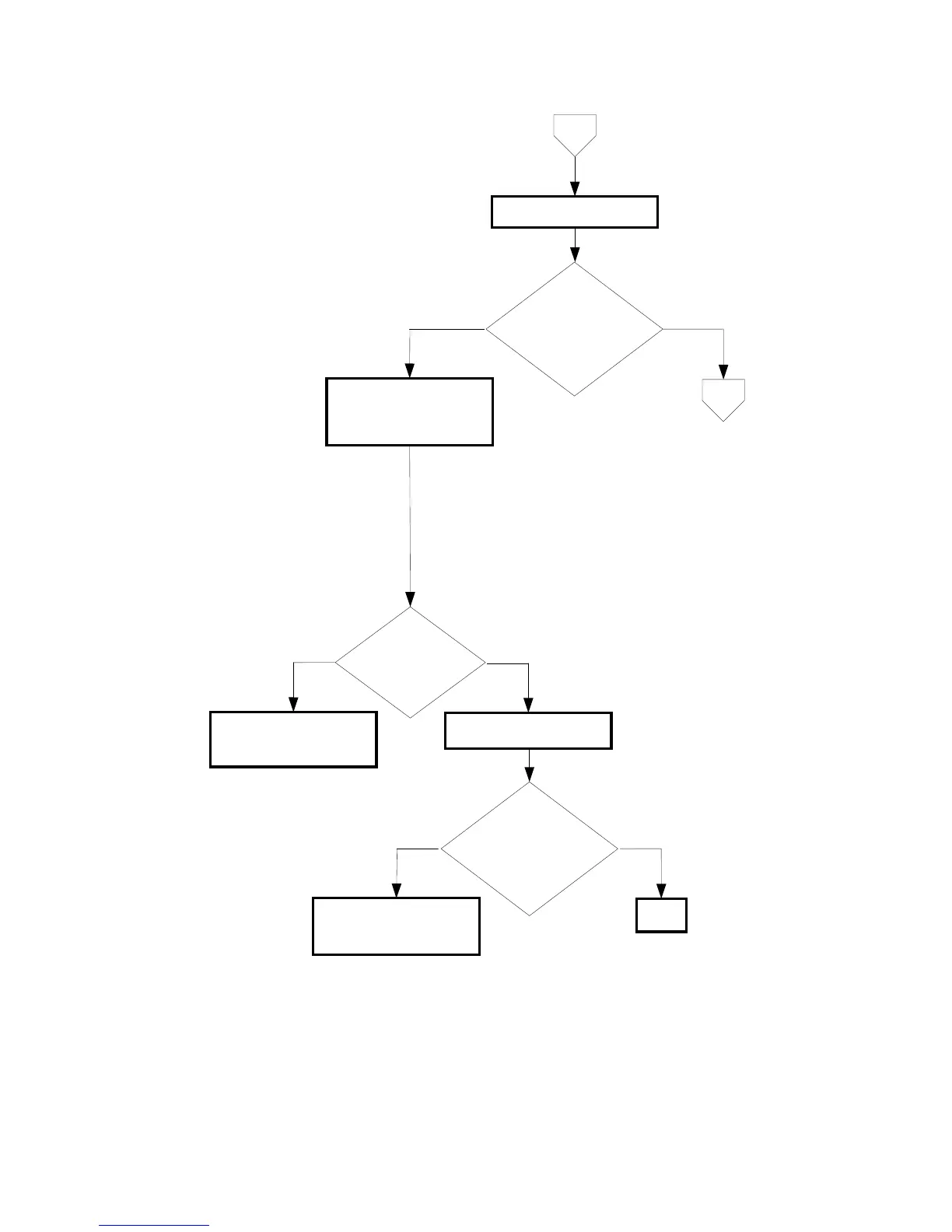
A
Checking the Duplex
No
Yes
Checking the DUPLEX
ASSY installation
Reseat the DUPLEX
ASSY.
No
Yes
Try replacing the DUPLEX
ASSY. (Removal 5/
Replacement 41)
No
END
Does the noise arise
when feeding the paper
from the Duplex?
Does the noise
arise from the printer?
Checked by [Digital
Output]-[DO-13] in [IOT
Diagnosis].
Yes
Try replacing the DUPLEX
ASSY. (Removal 5/
Replacement 41)
Checking the Duplex Motor
Does the noise arise
from the printer?
B

Table of Contents