EasyManua.ls Logo

Dell 3115CN - Page 330

Dell 3115CN
823 pages
Print Icon
To Next Page IconTo Next Page
To Next Page IconTo Next Page
To Previous Page IconTo Previous Page
To Previous Page IconTo Previous Page
Loading...
1‑304
Chapter 1 Troubleshooting
Version 1 2006.11.21
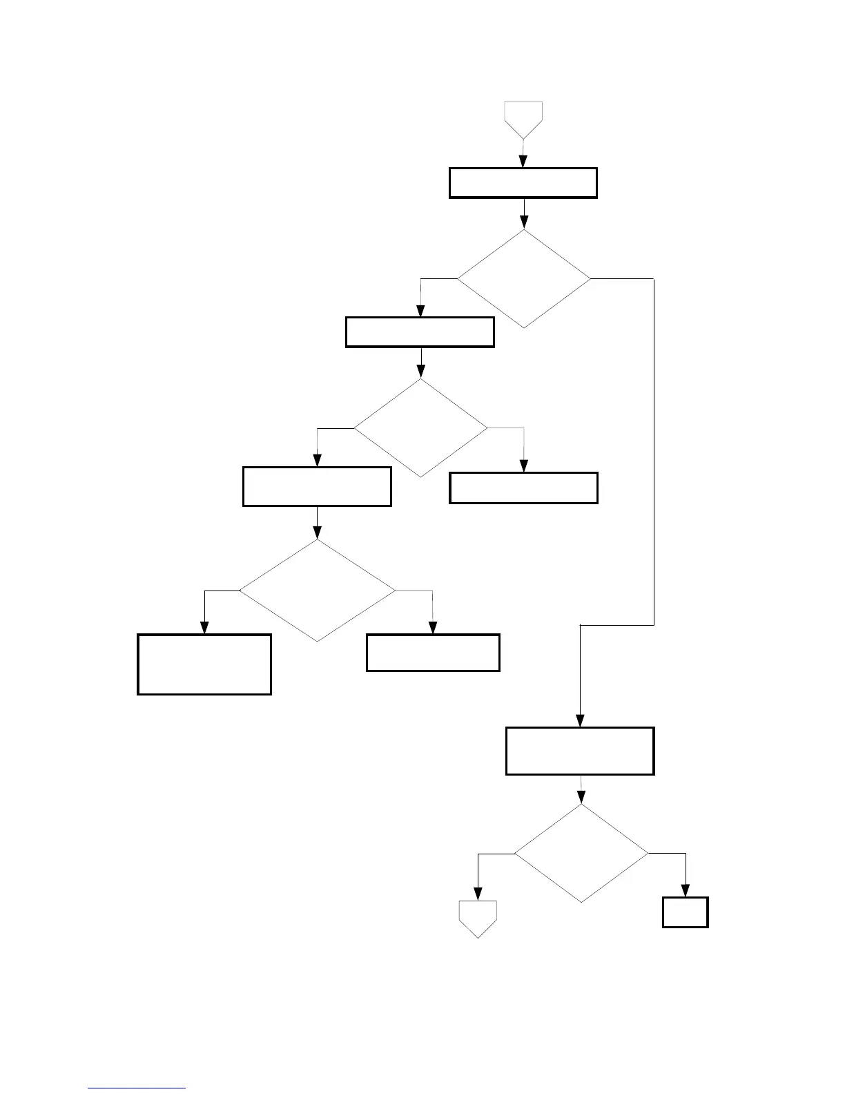
No
END
Yes
Checking the FUSER
ASSY installation
Reseat the FUSER ASSY.
C
Does the noise arise
from the printer?
Does the
document meet the
ADF spec.?
NoYes
Checking the Feed Roll
and the Separator Pad
Is there damage or
foreign substance on the
Feed Roll and Separator
pad?
NoYes
Checking the document
Replace the Feed Roll
and the Separator Pad.
Remove the foreign
substance or replace
the Feed Roll and the
Separator Pad
Change the paper type.
Does the noise
arise when feeding
the paper from the
ADF?
NoYes
Checking the ADF
B

Table of Contents