EasyManua.ls Logo

Schweitzer Engineering Laboratories SEL-421-4 - Figure 5.84 IEC Extremely Inverse-C3

Schweitzer Engineering Laboratories SEL-421-4
1518 pages
Print Icon
To Next Page IconTo Next Page
To Next Page IconTo Next Page
To Previous Page IconTo Previous Page
To Previous Page IconTo Previous Page
Loading...
5.110
SEL-421 Relay Instruction Manual Date Code 20171021
Protection Functions
Inverse-Time Overcurrent Elements
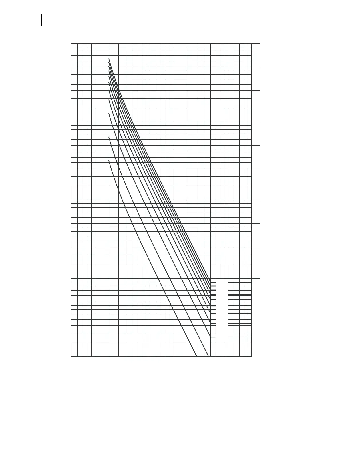
Figure 5.84 IEC Extremely Inverse—C3
.01
.5 .6 .7 .8 .9 1
.02
.03
.04
.05
.09
.07
.06
.08
.1
.2
.3
.4
.5
.7
.6
.9
.8
1
423 56789
10
40
20
30
70
50
60
80
90
100
80
10
2
3
6
4
5
7
9
8
20
50
30
40
60
70
100
90
0.20
0.10
0.05
1.00
0.90
0.80
0.70
0.60
0.50
0.40
0.30
Time in Seconds
Multiples of Pickup
Time in Cycles 60 Hz (50 Hz)
3 (2.5)
6 (5)
15 (12.5)
30 (25)
60 (50)
600 (500)
150 (125)
300 (250)
1500 (1250)
3000 (2500)
6000 (5000)

Table of Contents

Related product manuals