EasyManua.ls Logo

Schweitzer Engineering Laboratories SEL-421-4 - Figure 6.51 Automatic Restoration Timing Diagram

Schweitzer Engineering Laboratories SEL-421-4
1518 pages
Print Icon
To Next Page IconTo Next Page
To Next Page IconTo Next Page
To Previous Page IconTo Previous Page
To Previous Page IconTo Previous Page
Loading...
6.171
Date Code 20171021 Instruction Manual SEL-421 Relay
Protection Applications Examples
230 kV Tapped Transmission Line Application Example
Philosophy
System Protection Philosophy
SEL-421 Relays located at each of the three 230 kV terminals protect the tapped
230 kV transmission line; the relays operate in the DCB (directional comparison
blocking) trip scheme. Zone 1 distance protection also operates in the DUTT
(direct underreaching transfer trip) scheme. When the high-side MOD is closed,
the SEL-421 at Substation T direct transfer trips the other two terminals if a
115 kV circuit breaker fails to operate or an autotransformer failure occurs; the
SEL-421 at Substation T also receives direct transfer trip commands from Sub-
station S and Substation R.
Autoreclose Philosophy
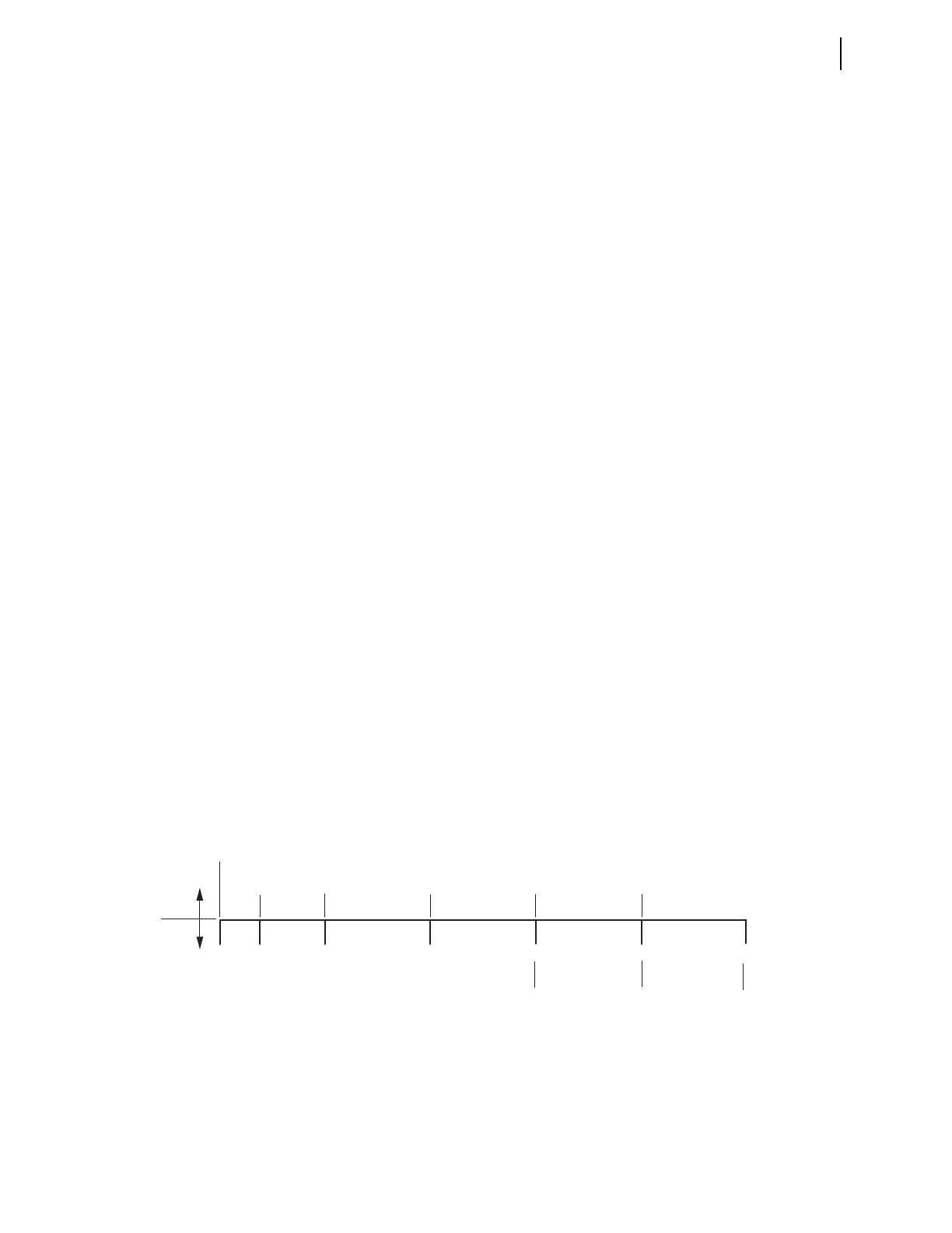
Refer to Table 6.46 for a timing diagram of the complete autoreclose cycle.
Use the SEL-421 to provide autoreclose at Substation T as follows.
Circuit Breaker BK1T
If the high-side MOD is closed and the synchronism check across
Circuit Breaker BK1T with respect to the 230 kV potential is
successful for at least four seconds, the SEL-421 recloses Circuit
Breaker BK1T in five seconds total.
If the high-side MOD is open and the 115 kV system has been
energized for at least four seconds, the relay recloses Circuit Breaker
BK1T in five seconds total.
Circuit Breaker BK2T
If Circuit Breaker BK1T recloses and the synchronism check is
successful across Circuit Breaker BK2T with respect to the 230 kV
potential for at least four seconds, the SEL-421 recloses Circuit
Breaker BK2T in five seconds total.
If the high-side MOD is open, Circuit Breaker BK1T recloses, and
the 115 kV system has been energized for at least four seconds, the
relay recloses Circuit Breaker BK2T in five seconds total.
Figure 6.51 Automatic Restoration Timing Diagram
Initial operation
230 kV line dead
MOD
opens
MOD open
MOD closed
0 2s 5s 10s 15s 20s 25s
230 kV line
reclosed
MOD closes
if 230 kV line
is hot
MOD locked open if:
230 kV line is dead
BK1T closes if:
(1) Synch-check
successful
(2) MOD closed
BK1T closes if:
(1) 115 kV source
is hot
(2) MOD is
locked open
BK2T closes if:
(1) BK1T closed,
(2) Synch-check
successful
(3) MOD closed
BK2T closes if:
(1) 115 kV source
is hot
(2) MOD is locked open
(3) BK1T is closed

Table of Contents

Related product manuals