EasyManua.ls Logo

Schweitzer Engineering Laboratories SEL-421-4 - Figure 5.85 IEC Long-Time Inverse-C4

Schweitzer Engineering Laboratories SEL-421-4
1518 pages
Print Icon
To Next Page IconTo Next Page
To Next Page IconTo Next Page
To Previous Page IconTo Previous Page
To Previous Page IconTo Previous Page
Loading...
5.111
Date Code 20171021 Instruction Manual SEL-421 Relay
Protection Functions
Inverse-Time Overcurrent Elements
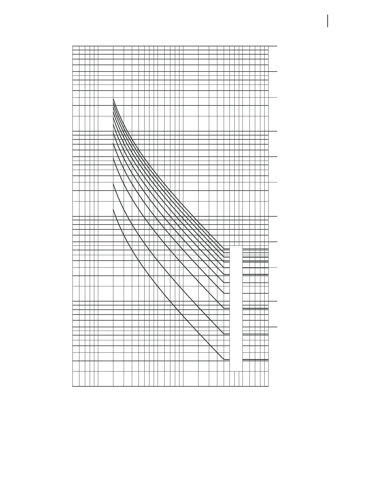
Figure 5.85 IEC Long-Time Inverse—C4
0.20
0.10
0.05
1.00
0.90
0.80
0.70
0.60
0.50
0.40
0.30
.7.6.5
.1
.9.8 1
.4
.2
.3
.5
.6
.8
.7
.9
1
2
3
4
5
7
6
423 765
10
98
40
20
30
70
50
60
80
90
100
50
9
8
10
20
30
40
300
200
100
80
60
70
90
1000
900
800
700
600
500
400
Time in Seconds
Multiples of Pickup
Time in Cycles 60 Hz (50 Hz)
30 (25)
60 (50)
150 (125)
300 (250)
3000 (2500)
600 (500)
1500 (1250)
6000 (5000)
15000 (12500)
30000 (25000)
60000 (50000)

Table of Contents

Related product manuals