EasyManua.ls Logo

Siemens Hipath 5000 - Page 781

Siemens Hipath 5000
1202 pages
To Next Page IconTo Next Page
To Next Page IconTo Next Page
To Previous Page IconTo Previous Page
To Previous Page IconTo Previous Page
Loading...
licensing.fm
P31003-H3560-S403-54-7620, 09/05
HiPath 3000 V6.0, HiPath 5000 V6.0, Provisional Service Manual
8-3
Licensing
Introduction
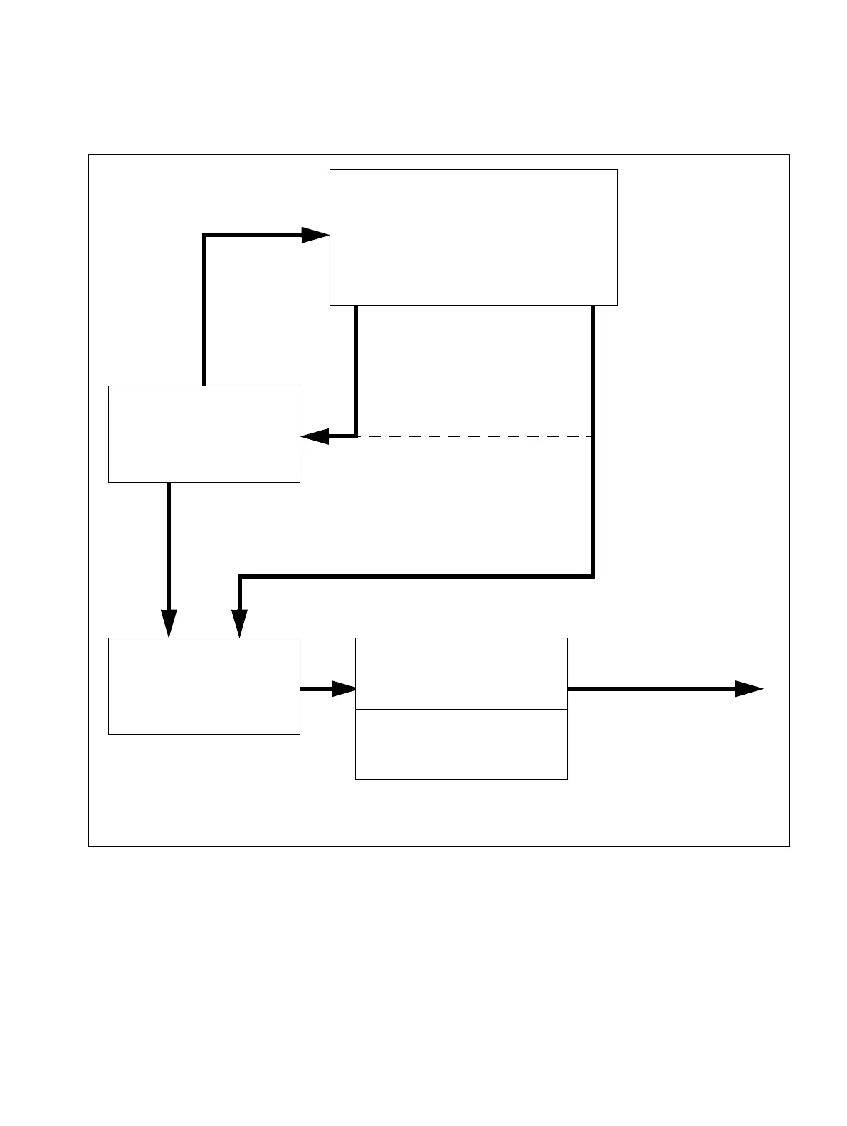
Figure 8-1 Licensing Process with Central License Server (CLS)
2. License file (*.xml) is
downloaded using CLM
1. License file is requested
using customer-specific
data
Customer License
Agent (CLA)
4. License file is validated
5. License file is analyzed
Customer License Client
(CLC)
Example: HiPath 3000
Manager E
6. Individual licenses are
distributed to all products
which are subject to man-
datory licensing
3. License file is activated
License Management System
Central License Server CLS
https://www.central-li-
cense-server.com/
Customer License
Manager (CLM)
or
2. License file (*.xml) is
downloaded without
CLM (license file is
stored manually in the
import directory)

Table of Contents

Other manuals for Siemens Hipath 5000

Related product manuals