EasyManua.ls Logo

Santerno Sinus Penta - DC Braking Menu; DC BRAKING AT START AND NON-CONDENSING FUNCTION

Santerno Sinus Penta
486 pages
Print Icon
To Next Page IconTo Next Page
To Next Page IconTo Next Page
To Previous Page IconTo Previous Page
To Previous Page IconTo Previous Page
Loading...
PROGRAMMING GUIDE
SINUS PENTA
363/486
40. DC BRAKING MENU
40.1. Overview
When the IFD or VTC control algorithm are used, DC current can be injected into the motor to stop it. DC current may
be automatically injected at stop and/or at start; DC current injection may also be controlled by the terminal board. All
relevant parameters are included in the DC BRAKING MENU. The intensity of the DC current injected is expressed as a
percentage of the rated current of the active motor.
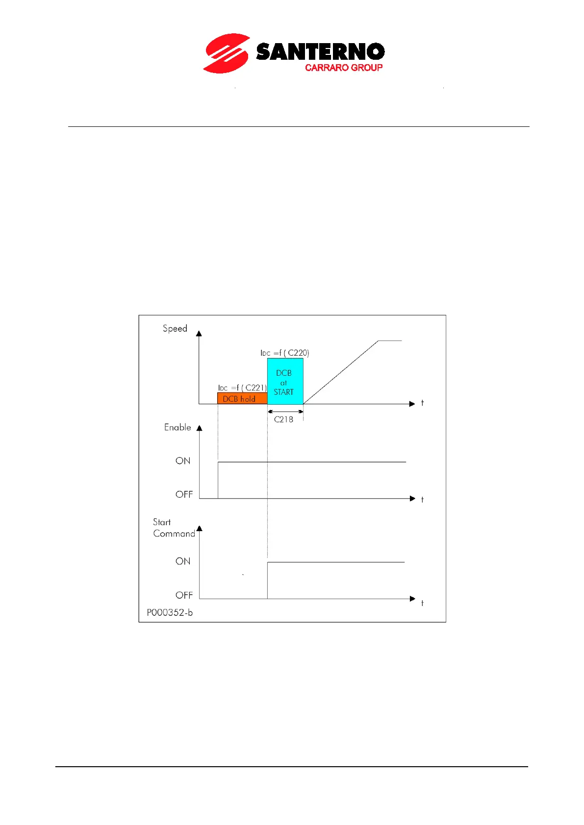
40.1.1. DC BRAKING AT START AND NON-CONDENSING
FUNCTION
To activate DC braking at start, set C216 to [YES]. Braking occurs after sending a START command, with a speed
reference other than zero, before the acceleration ramp. A START command may be one of the following: RUN
command or REV command sent via terminal board; START command from keypad, etc., depending on the preset
control mode. DC braking level and duration are set in the following parameters:
C220 Expressed as a percentage of the rated current of the controlled motor.
C218 Expressed in seconds.
Figure 57: DCB Hold and DCB at Start
Output speed, holding and DC braking current when the DCB Hold and DCB at Start functions are active.

Table of Contents

Other manuals for Santerno Sinus Penta

Related product manuals