EasyManua.ls Logo

Santerno Sinus Penta - MAXIMUM LOCKED ROTOR TIME - ENHANCED

Santerno Sinus Penta
486 pages
Print Icon
To Next Page IconTo Next Page
To Next Page IconTo Next Page
To Previous Page IconTo Previous Page
To Previous Page IconTo Previous Page
Loading...
PROGRAMMING GUIDE
SINUS PENTA
389/486
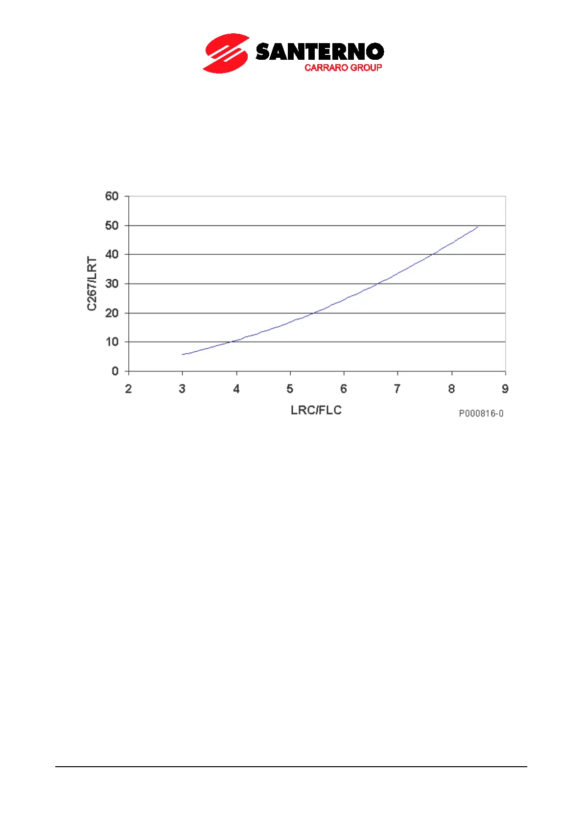
44.2.3. MAXIMUM LOCKED ROTOR TIME ENHANCED
If a more precise calculation is required, when the ratio between LRC and FLC is different from 7.2, you can refer to the
graph below, where the x axis shows the LRC/FLC ratio, and the y axis shows the multiplicative constant to be applied
to the LRT to calculate the value of parameter C267:
Figure 67: Set up of parameter C267 depending on the LRC/FLC ratio
Example 1b: When using a 7.5kW motor, the multiplicative constant corresponding to an LRC/FLC=8.2 is approx. 46 if
referring to the graph above.
As a result, the motor thermal time constant that you would select is 27.3 x 46, C267 = 1257s, which is a more accurate
value than 1080s computed in Example 1a.
Example 2: The 250kW motor in Table 119 can be approximated to have a trip class of:
690 x 79
IEC Class = ------------- = 90.85
100 x 6
Because this value is not given in Table 118, the motor thermal time constant that you would select is directly C267 =
90.85 x 36 = 3260s, or 90.85 x 33 = 2998s if the value “33” is considered, resulting from Table 119 with a ratio between
LRC/FLC=6.9.

Table of Contents

Other manuals for Santerno Sinus Penta

Related product manuals