EasyManua.ls Logo

Mitel 430 - Page 274

Mitel 430
502 pages
Print Icon
To Next Page IconTo Next Page
To Next Page IconTo Next Page
To Previous Page IconTo Previous Page
To Previous Page IconTo Previous Page
Loading...
Call logging (CL)
274
System functions and features as of R4.1
syd-0570/1.2 – R4.1 – 08.2016
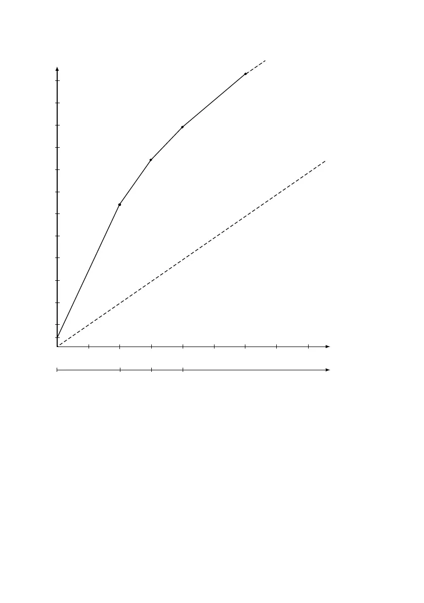
Fig. 148 Cost curve for the application example
Configuration notes:
To calculate deeper charges for a cost range, choose for the corresponding fee mul-
tiplier a value less than 1.
To stop the user from making paid calls, choose for the first fee multiplier the value 0
and leave the other values unchanged.
To limit the call charges to a higher value, set this value under Fee start 2 and
choose the value 0 for the second one.
To charge a fee for a paid call only after a specific amount, choose for the first fee
multiplier the value 0; fix under Fee start 2 the minimum amount for payable charges
and define the surcharge with the second fee multiplier.
61.50
49.50
42.–
32.–
5.–
10.–
15.–
20.–
25.–
30.–
35.–
40.–
45.–
50.–
55.–
60.–
2.–
5.– 10.– 15.– 20.– 25.– 30.– 35.– 40.–
x 3.0 x 2.0 x 1.5 x 1.2
Range 4
Range 3
Range 2
Range 1
Exchange call
charges
Costs
Cost curve
without
supplement
Cost curve with
supplement

Table of Contents

Other manuals for Mitel 430

Related product manuals