EasyManua.ls Logo

Mitel 430 - Page 183

Mitel 430
502 pages
Print Icon
To Next Page IconTo Next Page
To Next Page IconTo Next Page
To Previous Page IconTo Previous Page
To Previous Page IconTo Previous Page
Loading...
Call routing
183
System functions and features as of R4.1
syd-0570/1.2 – R4.1 – 08.2016
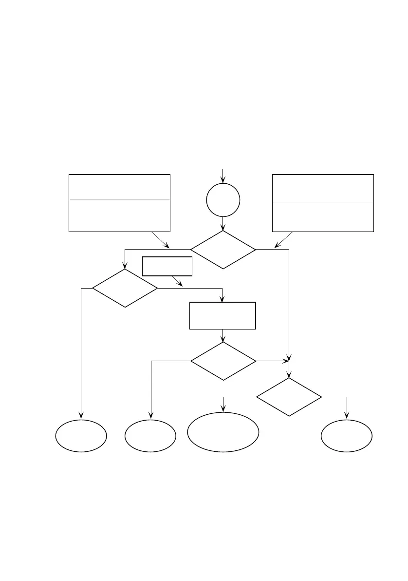
If a user group is busy, an incoming call is routed to user group 16. If user group 16 is
also busy,
the caller in the public ISDN network will obtain the congestion tone after call waiting
has been rejected;
the caller in the private leased-line network will obtain the congestion tone.
a call from the public analogue network will wait until the user is free after call wait-
ing has been rejected.
Fig. 89 Call distribution if user group busy
Polling (wait
until free)
If user is busy externally: call
waiting on exchange connection
disable
User has enabled call waiting
locally (*04 or by function)
Connection ok
Oer call to
UG 16
Clear down connec-
tion, caller obtains
congestion tone
Digital
connection
All elements
busy?
no
no
no
no
yes
yes
yes
yes
Oer call to UG 16
Call waiting
rejected?
manually by
the user
Call waiting
possible?
UG busy
If user is busy externally: call
waiting on exchange connection
enable
User has protected himself locally
against call waiting (#04 or by
function)
Outside call (with or without
direct dial information)

Table of Contents

Other manuals for Mitel 430

Related product manuals