EasyManua.ls Logo

Yamaha F400A 2022 - Charging System (F450 A;FL450 A;XF450)

Yamaha F400A 2022
592 pages
Print Icon
To Next Page IconTo Next Page
To Next Page IconTo Next Page
To Previous Page IconTo Previous Page
To Previous Page IconTo Previous Page
Loading...
Electrical system
2-30
Charging system (F450A/FL450A/XF450)
Outline
To help meet the extreme electrical demands of today’s larger boats, the 450-horsepower models
now feature a new three-phase, simultaneous charging system that delivers more net amps and at
lower r/min, where it’s needed most.
Using Phase Angle Control (PAC), which adjusts the intensity of the stator’s magnetic field, the 450-
horsepower models produce of up to 96 net amps per engine at idle speed. Phase Angle Control
(PAC) uses crank position sensor signals and built-in semi-conductors to control the magnetic field
within the stator. This, paired with greater magnetism of the rotor, allows for increased output, espe-
cially at very low r/min.
Semi-conductors are now used in place of diodes to control output to the main and secondary
charging leads while prioritizing charging of the starting battery(ies).
The 450-horsepower models provides more power for today’s popular on-board, high-demand devic-
es like gyro stabilizers, air conditioning, sound systems, and more, all while keeping starting batteries
constantly charged.
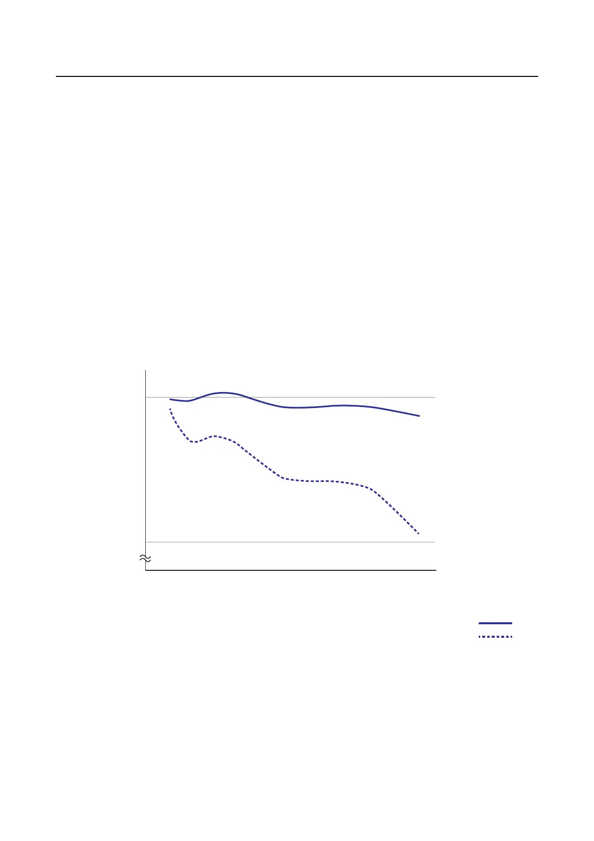
Generator output and charging performance
110.0
(A)
100.0
90.0
80.0
70.0
60.0
50.0
0 2000 4000
A
B
6000 (r/min)
A
B
A. Generator output
B. Charge

Table of Contents

Related product manuals