EasyManua.ls Logo

Daedong CK22 - Features of Wet Disc Brakes

Daedong CK22
372 pages
Print Icon
To Next Page IconTo Next Page
To Next Page IconTo Next Page
To Previous Page IconTo Previous Page
To Previous Page IconTo Previous Page
Loading...
7-4
DS35-W00 May. 2007
CLUTCHCLUTCH
CLUTCHCLUTCH
CLUTCH
TRANSMISSIONTRANSMISSION
TRANSMISSIONTRANSMISSION
TRANSMISSION
ENGINEENGINE
ENGINEENGINE
ENGINE
HSTHST
HSTHST
HST
FRONT AXLEFRONT AXLE
FRONT AXLEFRONT AXLE
FRONT AXLE
STEERINGSTEERING
STEERINGSTEERING
STEERING
BARKEBARKE
BARKEBARKE
BARKE
ELECTRICELECTRIC
ELECTRICELECTRIC
ELECTRIC
INDEXINDEX
INDEXINDEX
INDEX
HYDRAULICHYDRAULIC
HYDRAULICHYDRAULIC
HYDRAULIC
GENERALGENERAL
GENERALGENERAL
GENERAL
REAR AXLEREAR AXLE
REAR AXLEREAR AXLE
REAR AXLE
CK22/CK22H
196W602A
2.2 FEATURES OF WET DISC BRAKES
A. REDUCED DISC WEAR
Although wet discs are worn by approximately several
tens of microns depending on the initial contact in ini-
tial period (50 hours or so) of use, almost no wear
occurs afterwards. This means that brake adjustments
are eliminated.
B. STABLE BRAKING
Since the brake discs are immersed in transmission
oil, loss is rarely caused even after repeated braking
and a stable braking force is obtained.
C. PEDAL STROKE DOES NOT CHANGE UN-
DER INFLUENCE OF HEAT.
Unlike internal expanding type brakes, in which the
drum-to-shoe clearance increases due to thermal ex-
pansion and results in increased pedal stroke, the wet
disc brake provides a constant pedal stroke.
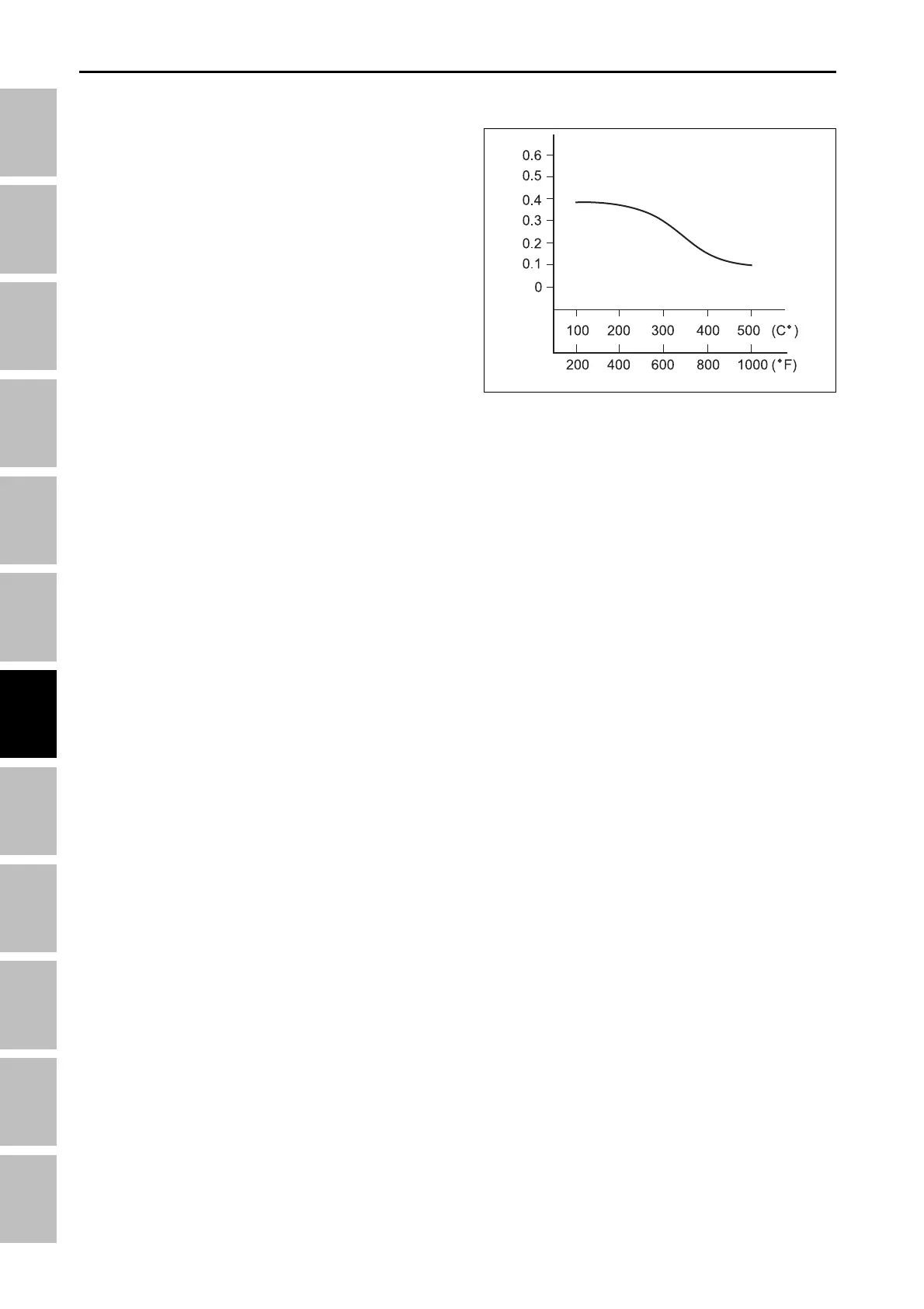
(Reference)
Relationship between temperature and friction.
BRAKE - OPERATING PRINCIPLE

Table of Contents

Related product manuals