EasyManua.ls Logo

Daedong CK22 - Performance Curve

Daedong CK22
372 pages
Print Icon
To Next Page IconTo Next Page
To Next Page IconTo Next Page
To Previous Page IconTo Previous Page
To Previous Page IconTo Previous Page
Loading...
2-6
DS35-W00 May. 2007
CLUTCHCLUTCH
CLUTCHCLUTCH
CLUTCH
TRANSMISSIONTRANSMISSION
TRANSMISSIONTRANSMISSION
TRANSMISSION
ENGINEENGINE
ENGINEENGINE
ENGINE
HSTHST
HSTHST
HST
FRONT AXLEFRONT AXLE
FRONT AXLEFRONT AXLE
FRONT AXLE
STEERINGSTEERING
STEERINGSTEERING
STEERING
BARKEBARKE
BARKEBARKE
BARKE
ELECTRICELECTRIC
ELECTRICELECTRIC
ELECTRIC
INDEXINDEX
INDEXINDEX
INDEX
HYDRAULICHYDRAULIC
HYDRAULICHYDRAULIC
HYDRAULIC
GENERALGENERAL
GENERALGENERAL
GENERAL
REAR AXLEREAR AXLE
REAR AXLEREAR AXLE
REAR AXLE
CK22/CK22H
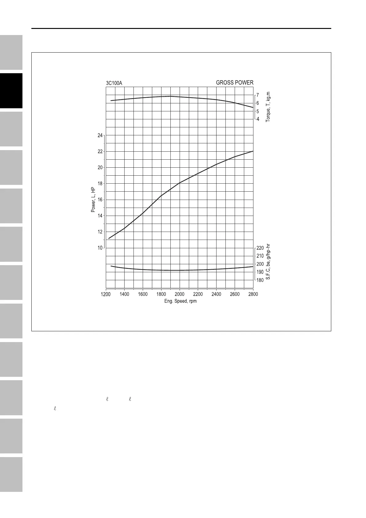
2.2 PERFORMANCE CURVE
NOTE:
Performance curve, obtained in accordance with SAE J 1995.
SFC (Specific Fuel Consumption)
According to the curve,
197g/Hp-hr at 2,800 rpm
197g/Hp-hr X 22 HP = 4,334 kg/hr
4,334 kg/hr ÷
0.81 kg/ = 5.35 /hr
Ì 1
of diesel fuel is 0.81 kg
196W203B
ENGINE - SPECIFICATIONS

Table of Contents

Related product manuals