EasyManua.ls Logo

Freescale Semiconductor MPC5553 - Page 552

Default Icon
1208 pages
Print Icon
To Next Page IconTo Next Page
To Next Page IconTo Next Page
To Previous Page IconTo Previous Page
To Previous Page IconTo Previous Page
Loading...
MPC5553/MPC5554 Microcontroller Reference Manual, Rev. 5
Freescale Semiconductor 13-29
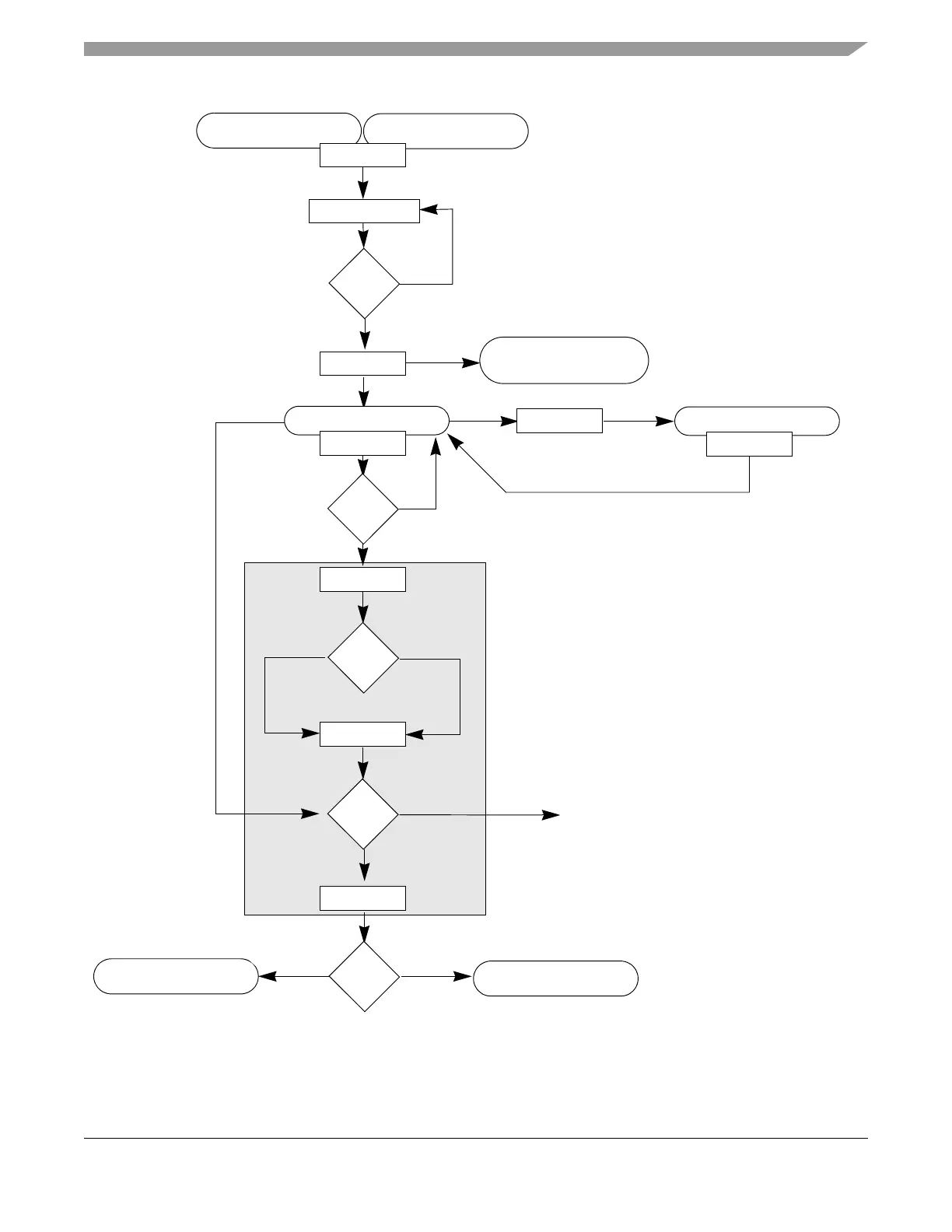
Figure 13-14. Program Sequence
PEG Valid Period
Note: PEG will remain valid
under this condition until EHV
is set high or PGM is cleared.
PEG = 0
Erase Suspend
User Mode Read State
Write MCR
ProgramWrite
Write MCR
Read MCR
Write MCR
Last
Write MCR
pgm
Program Suspend
Write MCR
Abort
User Mode Read State
Step 1
Step 2
Step 3
Step 4
Step 5
Step 6
Step 7
Step 9
No
Yes
User Mode Read State
PGM = 0
EHV = 1
WRITE
DONE = 1
PSUS = 1
Yes, Go to Step 2
No
EHV = 0
PGM = 0
PSUS = 0
PGM = 1
Read MCR
DONE = 1
ESUS
Erase Suspend
PEG = 0
PEG = 1
PEG
FailureSuccess
1
0
Value
High Voltage Active
EHV = 0
DONE = 0
WRITE
Access MCR
DONE
Step 8
Note: PSUS cannot be cleared
while EHV = 0. PSUS and
EHV = 1
EHV cannot both be changed
with a single write operation.
Write?
or Erase Suspend
more
words?

Table of Contents

Related product manuals