EasyManua.ls Logo

R&S ZNB - 6.5.6 Time Gate Tab

R&S ZNB
1496 pages
Print Icon
To Next Page IconTo Next Page
To Next Page IconTo Next Page
To Previous Page IconTo Previous Page
To Previous Page IconTo Previous Page
Loading...
GUI Reference
R&S
®
ZNB/ZNBT
321User Manual 1173.9163.02 ─ 55
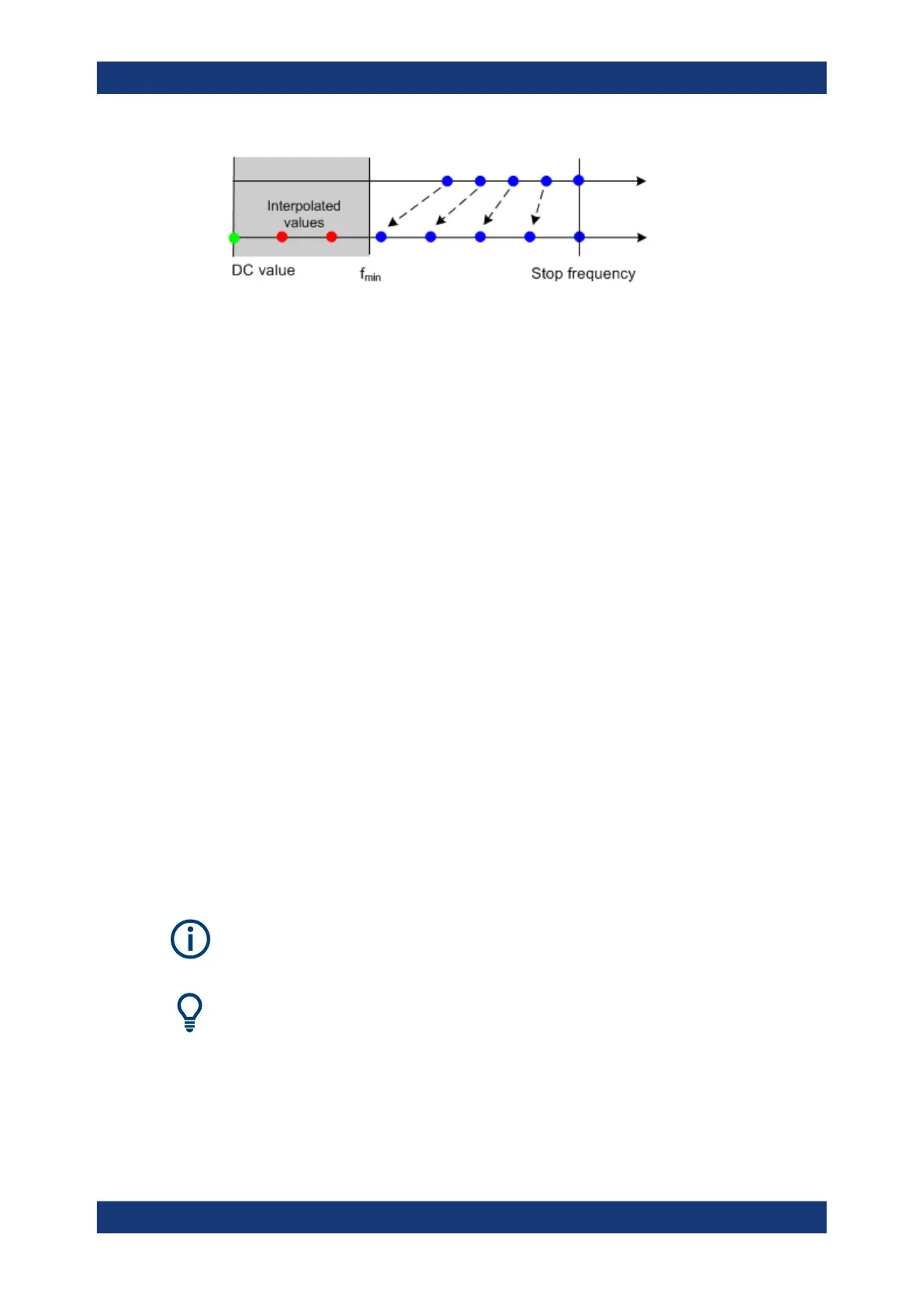
If the properties of the DUT at f = 0 are sufficiently well known, then it is recom-
mendable to enter the DC value manually ("Manual Entry").
Examples: At f = 0 the reflection factor of an open-ended cable is 1. It is –1 for a
short-circuited cable and 0 for a cable with matched termination. If a cable with
known termination is measured, enter these numbers as DC values.
The "Extrapolate" button initiates an extrapolation of the measured trace towards f
= 0 and overwrites the current DC value. This function can be used for a consis-
tency check.
"Continuous Extrapolation" initiates an extrapolation of the measured trace towards
lower frequencies, so that the missing values (green and red dots) are obtained
without any additional input. The extrapolation is repeated after each sweep.
After setting or extrapolating the DC value, the analyzer then calculates the remaining
values (red dots) by linear interpolation of the magnitude and phase.
Remote command:
CALCulate<Chn>:TRANsform:TIME:LPASs:DCSParam
CALCulate<Chn>:TRANsform:TIME:LPASs:DCSParam:CONTinuous
CALCulate<Chn>:TRANsform:TIME:LPASs:DCSParam:EXTRapolate
CALCulate<Chn>:TRANsform:TIME:LPFRequency
6.5.6 Time Gate Tab
Defines and activates a gate in the time domain. An active time gate acts on the trace
in time domain and in frequency domain representation. In time domain representation,
you can use the time gate settings to eliminate unwanted responses in your signal.
After switching back to the frequency domain, you will receive the frequency response
of your DUT without the contribution of the unwanted responses. The time gate is inde-
pendent of the frequency window used to filter the trace before transforming it to time
domain.
Time domain analysis requires option R&S ZNB-K2 / R&S ZNBT-K2. If this option is
not installed, the Time Domain Tab and "Time Gate" tabs are hidden.
Background information
Refer to Chapter 5.7.2.5, "Time Gates", on page 206.
Trace Config Softtool

Table of Contents

Related product manuals