EasyManua.ls Logo

R&S ZNB - Page 542

R&S ZNB
1496 pages
To Next Page IconTo Next Page
To Next Page IconTo Next Page
To Previous Page IconTo Previous Page
To Previous Page IconTo Previous Page
Loading...
GUI Reference
R&S
®
ZNB/ZNBT
542User Manual 1173.9163.02 ─ 55
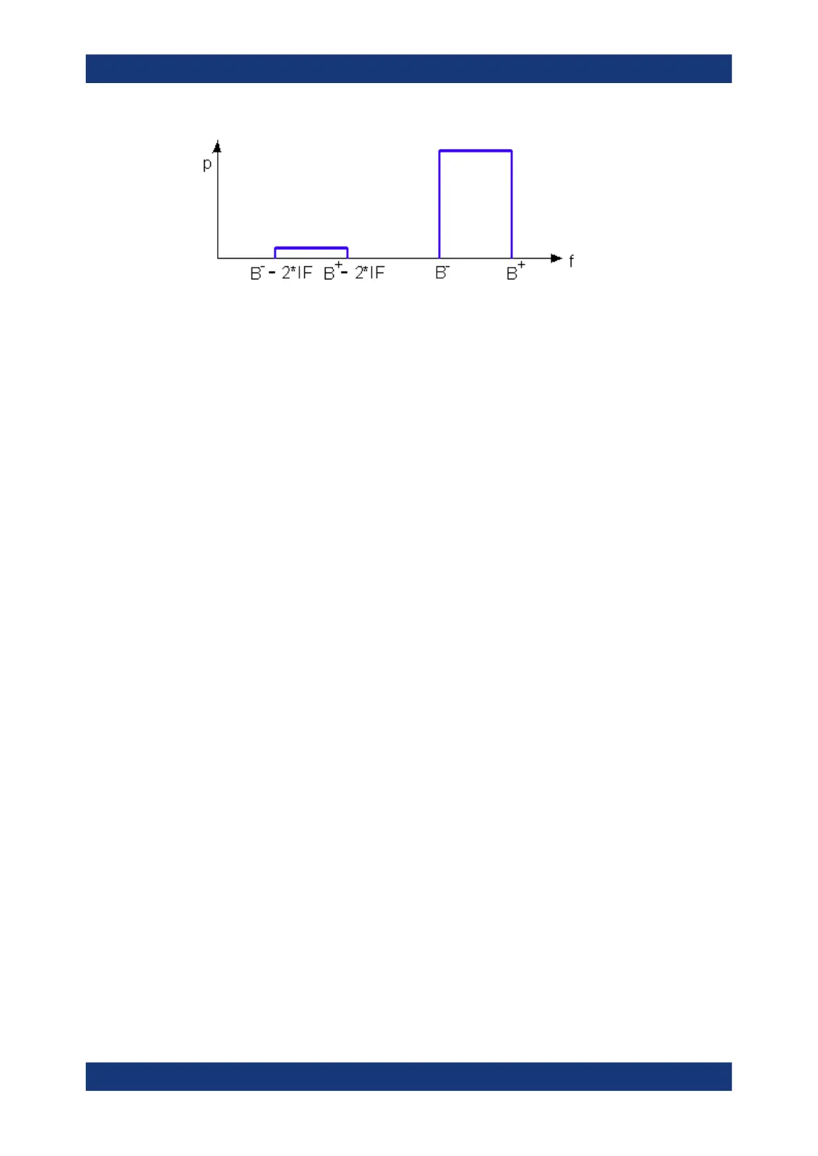
For a wide bandpass, the spurious response flattens the filter edges.
The spurious signal can be eliminated by dividing the sweep range into two segments
with different LO settings:
In the low-frequency segment ranging up to the center frequency of the bandpass
filter, the frequency of the local oscillator is set to LO < RF. This setting ensures
that the spurious signal b'
2
is not measured at port 2.
In the high-frequency segment, starting at the center frequency of the bandpass fil-
ter, the frequency of the local oscillator is set to LO > RF. If the center frequency is
larger than B
+
– 2*IF, then there is no distortion from b'
2
.
Remote command:
[SENSe<Ch>:]FREQuency:SBANd
AGC Mode
Configures the gain control (GC) logic.
In "Auto" mode, the analyzer adapts its receiver step attenuator settings to the RF
input level ( Automatic or Adaptive Gain Control, AGC). The A/D converter is always
operated at optimum input level, selecting one of the following gain settings for every
measurement point:
"Low Noise" corresponding to a higher internal A/D converter input level. This set-
ting increases the dynamic range and is appropriate for low RF input levels.
"Low Dist", corresponding to a lower internal A/D converter input level. This set-
ting allows for a high RF overdrive reserve and is appropriate for high RF input lev-
els.
"Low Dist" and "Low Noise" can also be selected statically, completely disabling the
adaptive behavior. A static GC mode is appropriate, if the characteristics of the input
paths must be constant, e.g. because:
interfering signal contributions originating from the receiver (noise, nonlinear contri-
butions) must not change during the measurement.
a large interfering signal close to the measured signal must not overdrive the
receiver.
"Manual" mode allows you to select the preferred "AGC Mode" per sweep segment,
drive port and receiver (see "Drive-port specific settings" on page 544).
Remote command:
[SENSe<Ch>:]POWer:GAINcontrol:GLOBal
Channel Config Softtool

Table of Contents

Related product manuals