EasyManua.ls Logo

Ricoh B234 - 1 Installation Procedures; Installation Requirements; Environment

Ricoh B234
1335 pages
To Next Page IconTo Next Page
To Next Page IconTo Next Page
To Previous Page IconTo Previous Page
To Previous Page IconTo Previous Page
Loading...
INSTALLATION REQUIREMENTS
SM 1-1 B234/B235/B236/D101/D102/D103
Installation
1. INSTALLATION PROCEDURES
1.1 INSTALLATION REQUIREMENTS
1.1.1 ENVIRONMENT
1. Temperature Range:
10°C to 32°C (50°F to 89.6°F)
2. Humidity Range:
15% to 80% RH
3. Ambient Illumination:
Less than 1,500 lux (do not expose to direct sunlight
or strong light)
4. Ventilation:
Room air should turn over at least 3 times per hour
per person
5. Ambient Dust:
Less than 0.075 mg/m
3
6. If the place of installation is air-conditioned or heated, do not place the machine
where it will be:
1) Subjected to sudden temperature changes
2) Directly exposed to cool air from an air-conditioner
3) Directly exposed to heat from a heater
7. Do not place the machine where it will be exposed to corrosive gases.
8. Do not install the machine at any location over 2,000 m (6,500 feet) above sea
level.
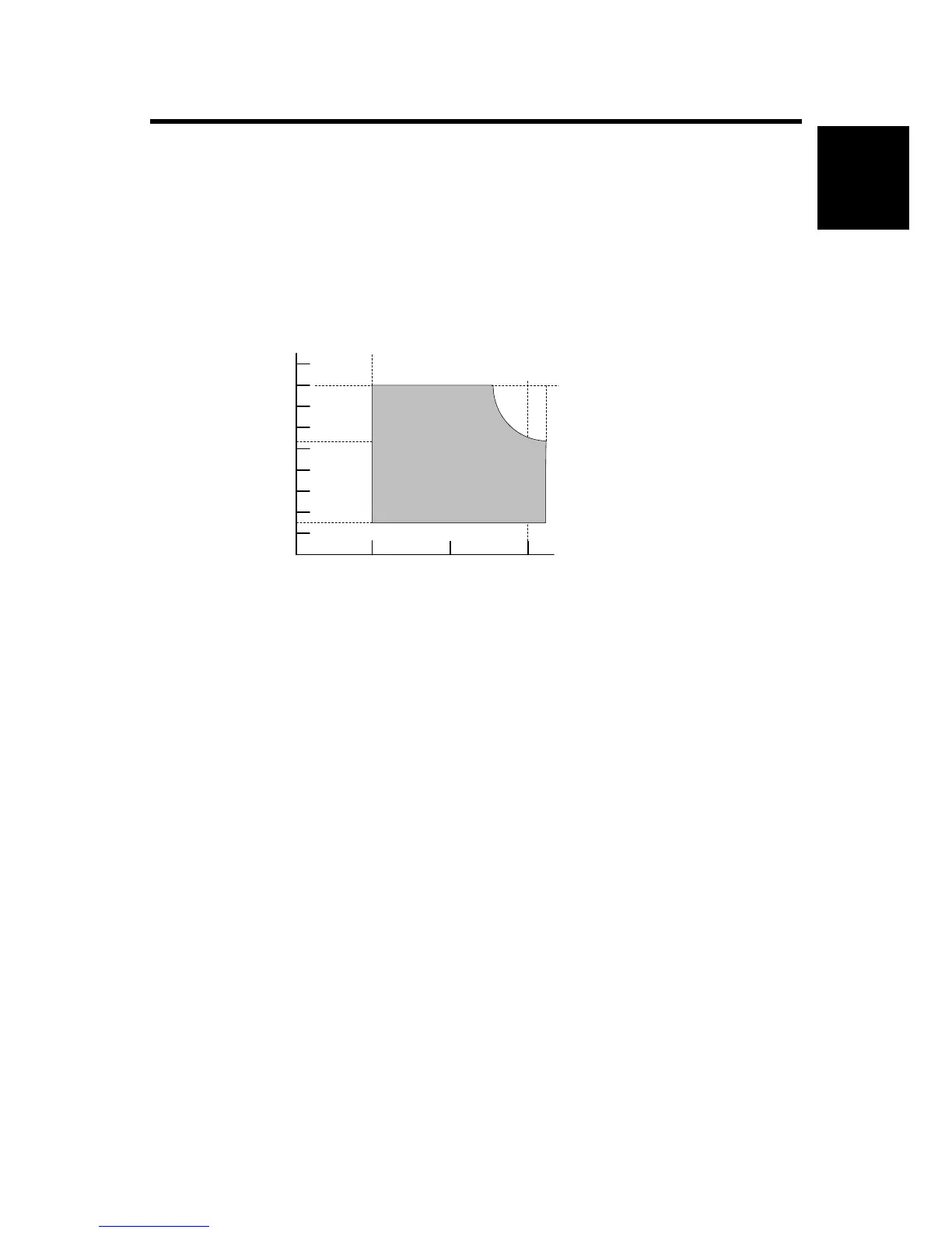
90
80
70
60
50
40
30
20
10
10 20 30
%Rh
27°C (80.6°F) 80%
32°C (89.6°F) 54%
32°C (89.6°F) 15%
10°C (50°F) 15%
Temperature
Operation
Range
B070I900.WMF

Table of Contents

Other manuals for Ricoh B234

Related product manuals