EasyManua.ls Logo

Mips Technologies R4000 - Page 175

Mips Technologies R4000
754 pages
Print Icon
To Next Page IconTo Next Page
To Next Page IconTo Next Page
To Previous Page IconTo Previous Page
To Previous Page IconTo Previous Page
Loading...
MIPS R4000 Microprocessor User's Manual 145
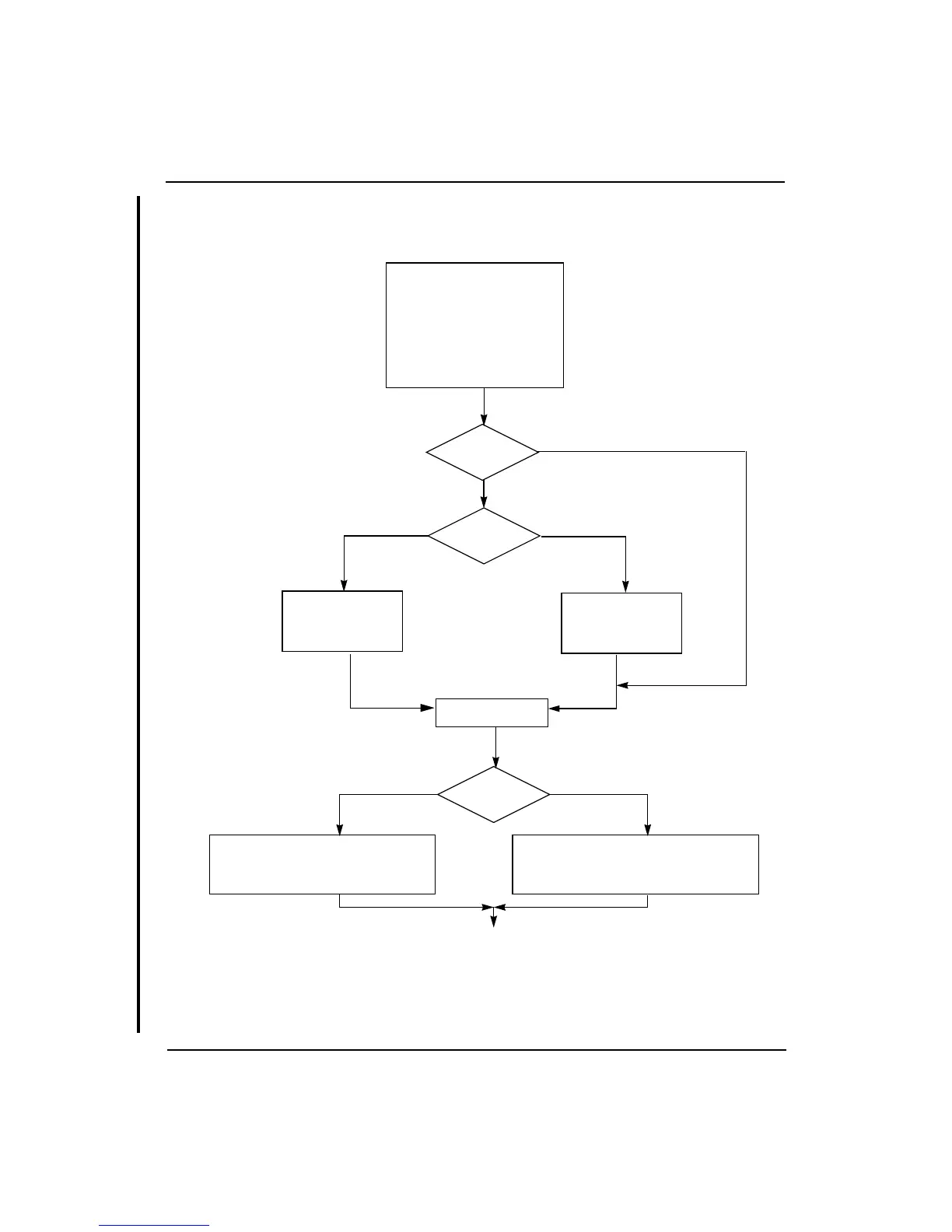
CPU Exception Processing
Figure 5-18 General Exception Handler (HW)
PC <- 0xFFFF FFFF BFC0 0200 + 180
PC <- 0xFFFF FFFF 8000 0000 + 180
EXL <- 1
BEV
=1 (bootstrap)=0
To General Exception Servicing Guidelines
(unmapped, cached)
(unmapped, uncached)
Exceptions other than Reset, Soft Reset, NMI, CacheError or first-level miss
Note: Interrupts can be masked by IE or IMs
and Watch is masked if EXL = 1
Check if exception within
Processor forced to Kernel Mode
(normal)
EPC <- PC
Instr. in
Yes
No
EPC <- (PC - 4)
Br.Dly. Slot?
EXL
(SR1)
=1
=0
BadVA is set only for
TLB- Invalid, Modified,
Note: not set if it is a Bus Error
Cause 31 (BD) <- 1
Cause 31 (BD) <- 0
Refill- and VCED/I exceptions
EnHi, X/Context are set only for
*TLB- Invalid, Modified,
& Refill exceptions
Set Cause Register
EnHi <- VPN2, ASID
Context <- VPN2
EXCCode, CE
Set Watch Register
Set FP Control Status Register
*Watch & FP Control Status Register
are only set if the respective exception
occurs.
& interrupt disabled
Comments
another exception
Set BadVA

Table of Contents