EasyManua.ls Logo

Sun Microsystems Blade 1500 - Page 102

Sun Microsystems Blade 1500
500 pages
Print Icon
To Next Page IconTo Next Page
To Next Page IconTo Next Page
To Previous Page IconTo Previous Page
To Previous Page IconTo Previous Page
Loading...
4-18 Sun Blade 1500 Service, Diagnostics, and Troubleshooting Manual December 2004
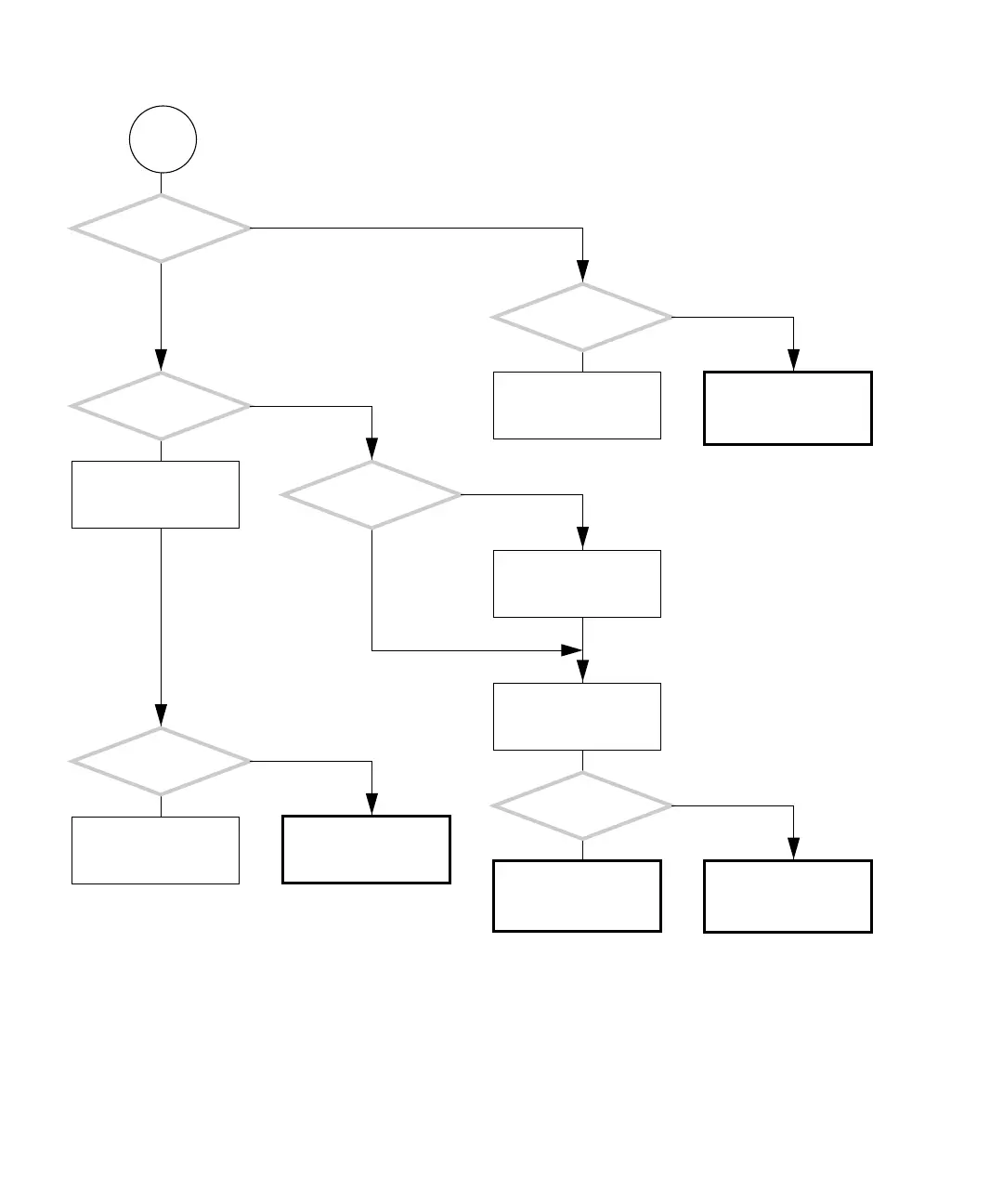
FIGURE 4-15 Network Problem (Continued)
F
Is the green
LED at the system’s TPE
connection flashing?
Are other
systems on the same sub-
net having problems?
Check motherboard and
replace if necessary. See
“Motherboard Problem”
on page 4-34.
Check network hardware
and heath.
Is the
operating system
running?
Is the ok prompt
displayed?
Press the Stop-A keys.
Type:
watch-net-all
Are packets being
read?
Check motherboard and
replace if necessary. See
“Motherboard Problem”
on page 4-34.
Check network connec-
tion with OpenBoot Diag-
nostics. See “OpenBoot
Diagnostics” on page 8-5.
As superuser, type:
# netstat -i
Does netstat return
more than 10% collisions
or more than one Ier-
rors or Oerrors?
Check the network con-
nection with SunVTS. See
“SunVTS” on page 9-1.
Check network hardware
and status.
Y
N
Y
N
Y
N
Y
N
Y
N
Y
N

Table of Contents

Related product manuals