EasyManua.ls Logo

Sun Microsystems Blade 1500 - FIGURE 4-12 Monitor Problem (Continued)

Sun Microsystems Blade 1500
500 pages
Print Icon
To Next Page IconTo Next Page
To Next Page IconTo Next Page
To Previous Page IconTo Previous Page
To Previous Page IconTo Previous Page
Loading...
Chapter 4 Troubleshooting Flowcharts 4-15
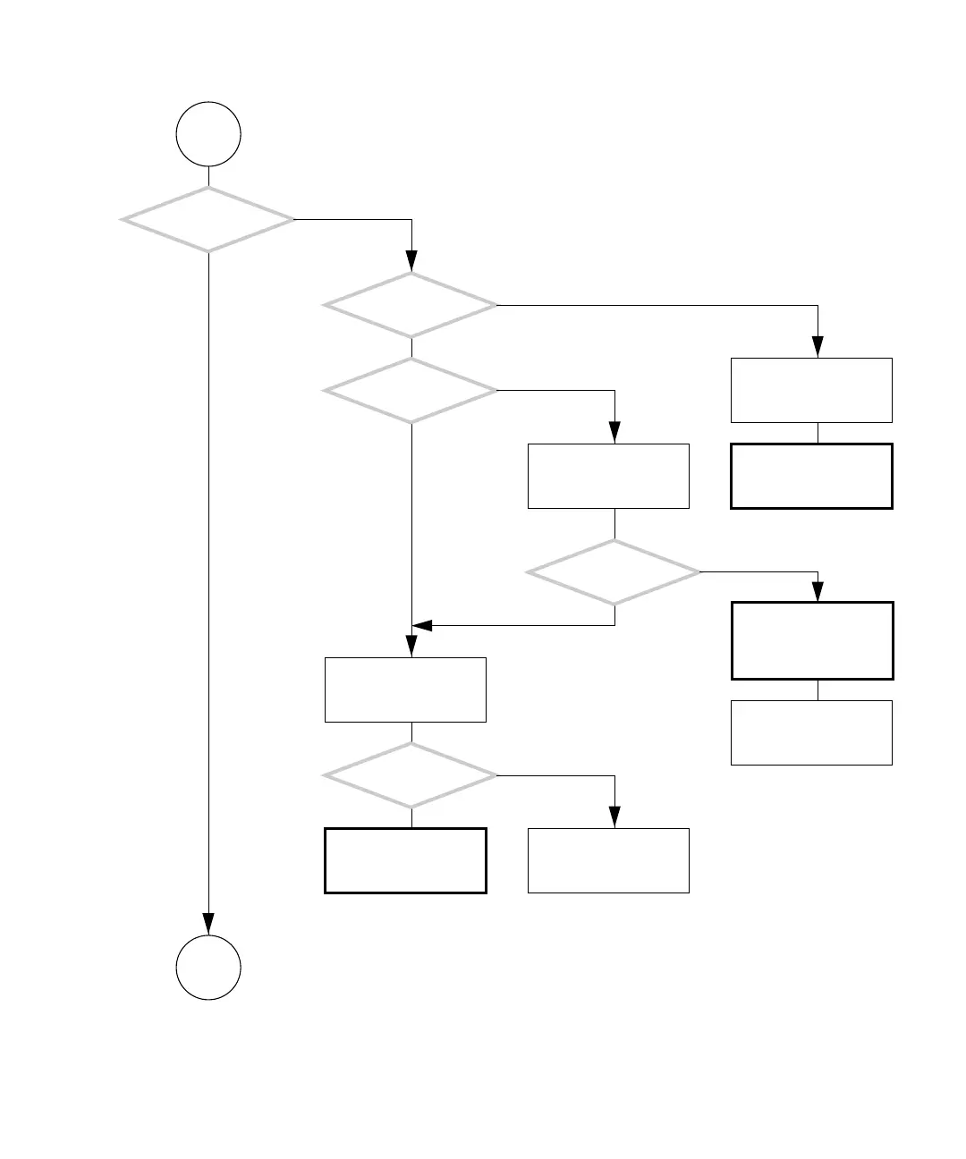
FIGURE 4-12 Monitor Problem (Continued)
D
Does an LED indicate
power to the monitor?
Is the monitor
turned on?
Is the monitor
connected to same power
source as computer?
Return to “Power-On
Flowchart” on page 4-3.
Turn monitor on.
Check power require-
ments. See “Electrical
Specifications” on
page A-2.
Attach known good elec-
tric device or tester to
wall receptacle.
Resolve facility power
supply issues.
Is the specified power
supplied?
Replace monitor power
cable.
Replace monitor.Return to “Power-On
Flowchart” on page 4-3.
Does an LED indicate
power to the monitor?
Y
N
Y
N
Y
N
Y
N
Y
N
Go to
E

Table of Contents

Related product manuals