EasyManua.ls Logo

Sun Microsystems Blade 1500 - Page 105

Sun Microsystems Blade 1500
500 pages
Print Icon
To Next Page IconTo Next Page
To Next Page IconTo Next Page
To Previous Page IconTo Previous Page
To Previous Page IconTo Previous Page
Loading...
Chapter 4 Troubleshooting Flowcharts 4-21
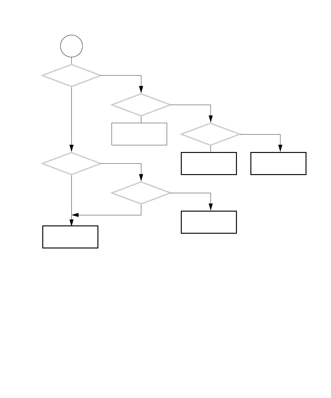
FIGURE 4-18 Login Problem (Continued)
G
Is the Solaris splash
screen displayed?
Though typed
correctly, is the login
password stated
as incorrect?
Is the green
LED at the systems’s TPE
connector flashing?
Refer to displayed screens
table. See “Displayed
Screens” on page 3-2.
Check the name service.
Contact system adminis-
trator.
Check the network con-
nection. See “Network
Problem” on page 4-17.
Is the GUI
displayed?
Is a command-line
prompt displayed?
Refer to displayed screens
table. See “Displayed
Screens” on page 3-2.
Return to “Power-On
Flowchart” on page 4-3.
Y
N
Y
N
Y
N
Y
N
Y
N

Table of Contents

Related product manuals