EasyManua.ls Logo

Sel 411L - Figure 3.52 Phase Elements Operating Times-Serial Communication; Figure 3.53 Negative-Sequence Elements Operating Times-Serial Communication

Sel 411L
1108 pages
Print Icon
To Next Page IconTo Next Page
To Next Page IconTo Next Page
To Previous Page IconTo Previous Page
To Previous Page IconTo Previous Page
Loading...
P.3.100
SEL-411L Relay Protection Manual Date Code 20151029
Protection Functions
87L Differential Elements
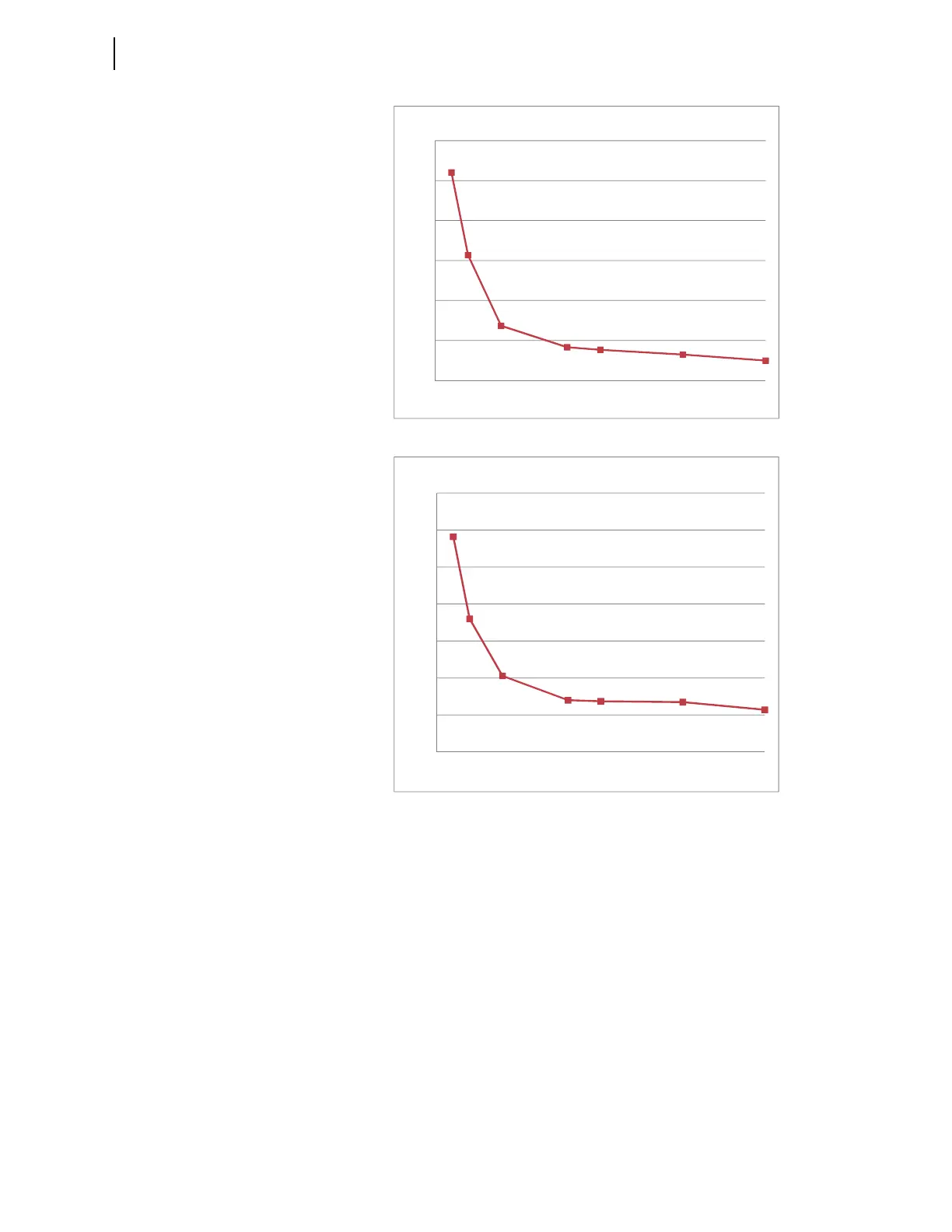
Figure 3.52 Phase Elements Operating TimesSerial Communication
Figure 3.53 Negative-Sequence Elements Operating Times—Serial Communication
0.6
0.8
1
1.2
1.4
1.6
1.8
0 2 4 6 8 101214161820
Time (cycles)
Multiples of Pickup
Phase Elements
0.6
0.8
1
1.2
1.4
1.6
1.8
2
0 2 4 6 8 10 12 14 16 18 20
Multiples of Pickup
Time (cycles)
Negative-Sequence Elements

Table of Contents

Related product manuals