EasyManua.ls Logo

Sel 411L - CT Selection Procedure; Figure 3.56 Negative-Sequence Elements Operating Times-Ethernet Communication; Figure 3.57 Zero-Sequence Elements Operating Times-Ethernet Communication

Sel 411L
1108 pages
Print Icon
To Next Page IconTo Next Page
To Next Page IconTo Next Page
To Previous Page IconTo Previous Page
To Previous Page IconTo Previous Page
Loading...
P.3.102
SEL-411L Relay Protection Manual Date Code 20151029
Protection Functions
CT Selection Procedure
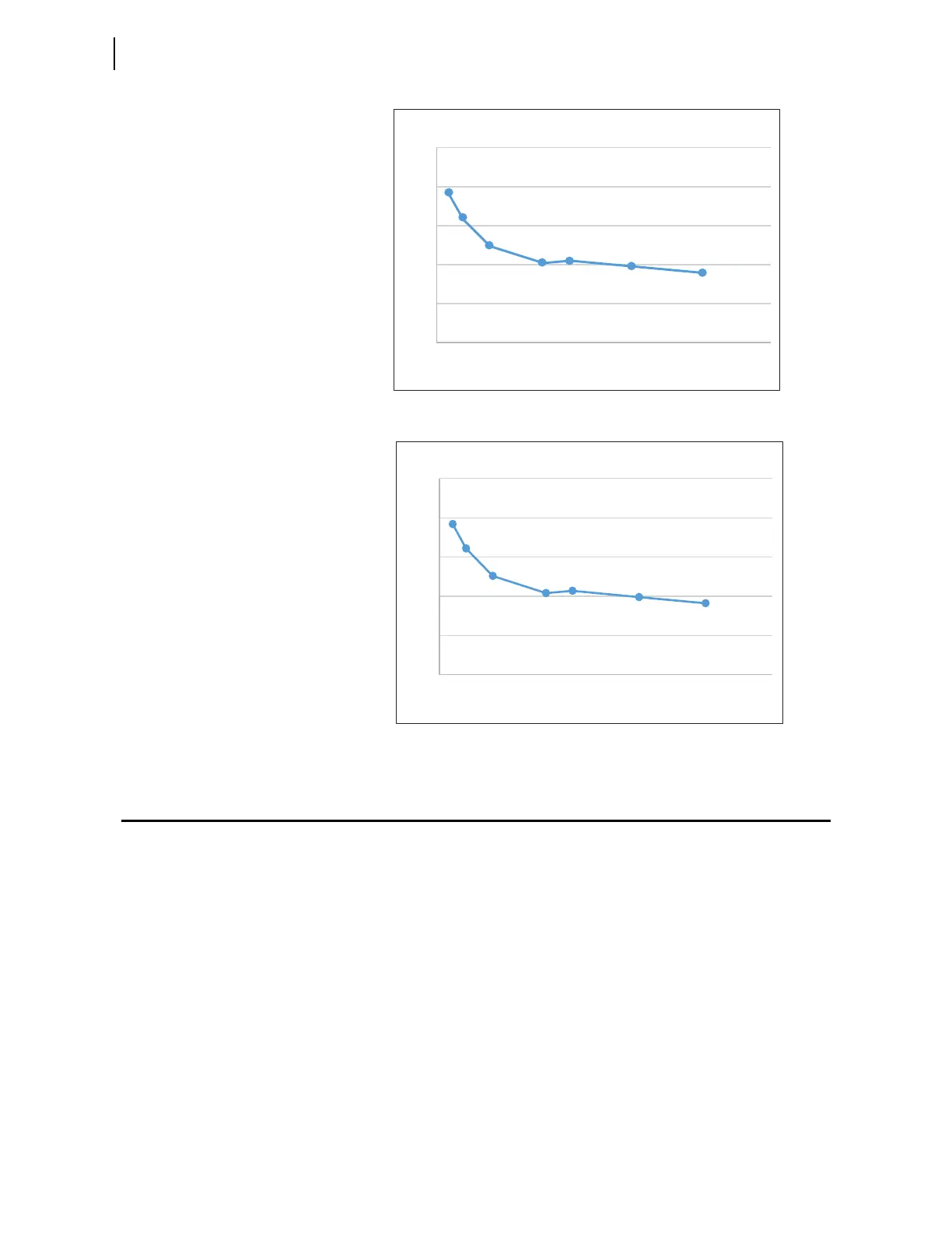
Figure 3.56 Negative-Sequence Elements Operating Times—Ethernet
Communication
Figure 3.57 Zero-Sequence Elements Operating Times—Ethernet Communication
CT Selection Procedure
The SEL-411L uses high-speed elements within the directional, distance, and
current differential elements and applies these elements universally to all
zones and characteristics (including mho and quadrilateral elements). For
internal faults, therefore, these high-speed elements operate before CT
saturation occurs in all but the most severe cases (significant saturation
occurring in less than a cycle). CT saturation can occur for internal faults,
external faults, or other events such as transformer energization. When CT
saturation occurs, secondary current no longer represents primary current
value accurately. We can use the following two conditions as limiting factors
in determining CT selection for an external fault at the remote bus:
The current differential elements must not operate, and
The overreaching Zone 2 mho and quadrilateral distance
elements (set to 125 percent of the protected line length) must
operate properly to provide effective backup for an external fault.
Multiples of Pickup
Time (cycles)
Negative-Sequence Elements
2.5
2
1.5
1
0.5
0
0 5 10 15 20 25
Multiples of Pickup
Time (cycles)
Zero-Sequence Elements
2.5
2
1.5
1
0.5
0
0 5 10 15 20 25

Table of Contents

Related product manuals