EasyManua.ls Logo

Renesas RX Series

Renesas RX Series
1823 pages
To Next Page IconTo Next Page
To Next Page IconTo Next Page
To Previous Page IconTo Previous Page
To Previous Page IconTo Previous Page
Loading...
R01UH0823EJ0100 Rev.1.00 Page 1750 of 1823
Jul 31, 2019
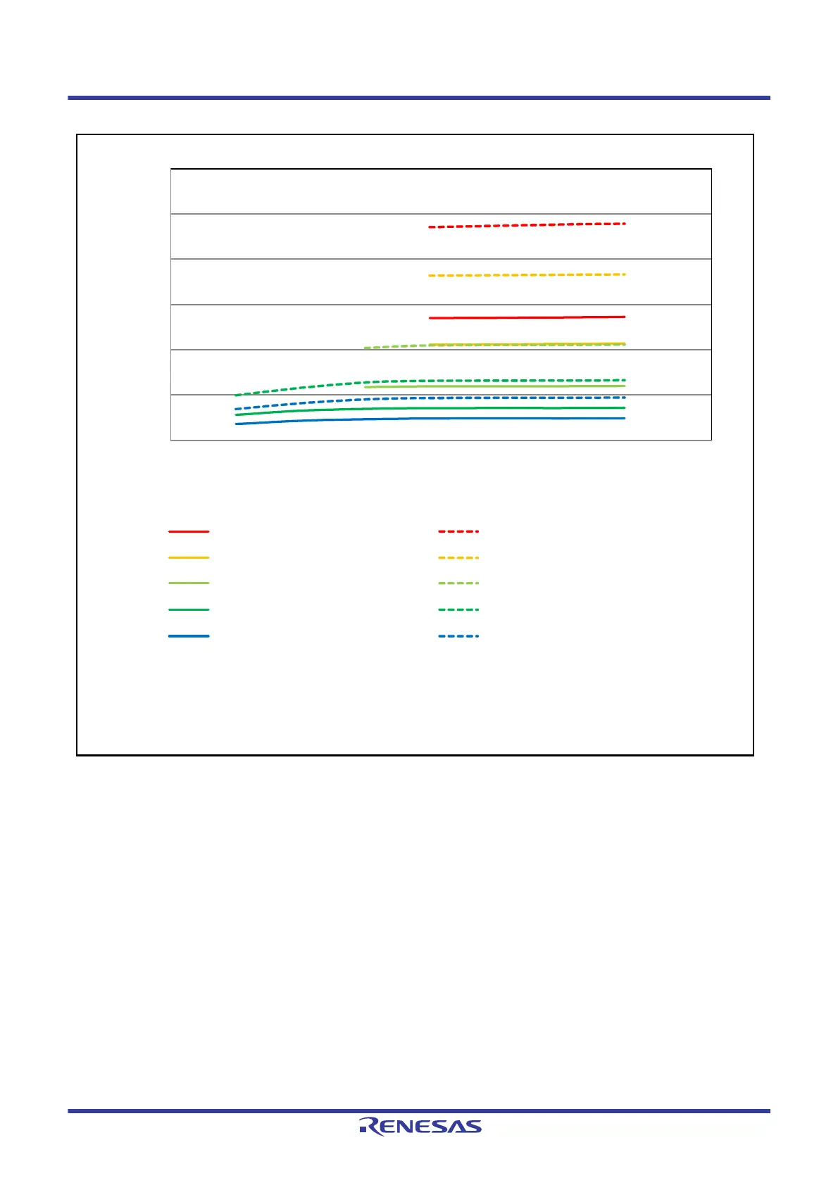
RX23W Group 51. Electrical Characteristics
Figure 51.1 Voltage Dependency in High-Speed Operating Mode (Reference Data)
Note 1. All peripheral operations except any BGO operation are operating normally. Indicates the average of the
typical samples through actual measurement during product evaluation.
Note 2. All peripheral operations except any BGO operation are operating at maximum. Indicates the average of the
upper-limit samples through actual measurement during product evaluation.
0
10
20
30
40
50
60
1.5 2.0 2.5 3.0 3.5 4.0
ICC (mA)
VCC (V)
Ta = 25°C, ICLK = 54 MHz
*1
Ta = 25°C, ICLK = 32 MHz
*1
Ta = 25°C, ICLK = 16 MHz
*1
Ta = 25°C, ICLK = 8 MHz
*1
Ta = 25°C, ICLK = 4 MHz
*1
Ta = 85°C, ICLK = 54 MHz
*2
Ta = 85°C, ICLK = 32 MHz
*2
Ta = 85°C, ICLK = 16 MHz
*2
Ta = 85°C, ICLK = 8 MHz
*2
Ta = 85°C, ICLK = 4 MHz
*2

Table of Contents

Related product manuals