EasyManua.ls Logo

ST SPC560P34 - Figure 490. Baud Rate Deviation between Host and SPC560 P40;34

ST SPC560P34
936 pages
Print Icon
To Next Page IconTo Next Page
To Next Page IconTo Next Page
To Previous Page IconTo Previous Page
To Previous Page IconTo Previous Page
Loading...
RM0046 Boot Assist Module (BAM)
Doc ID 16912 Rev 5 825/936
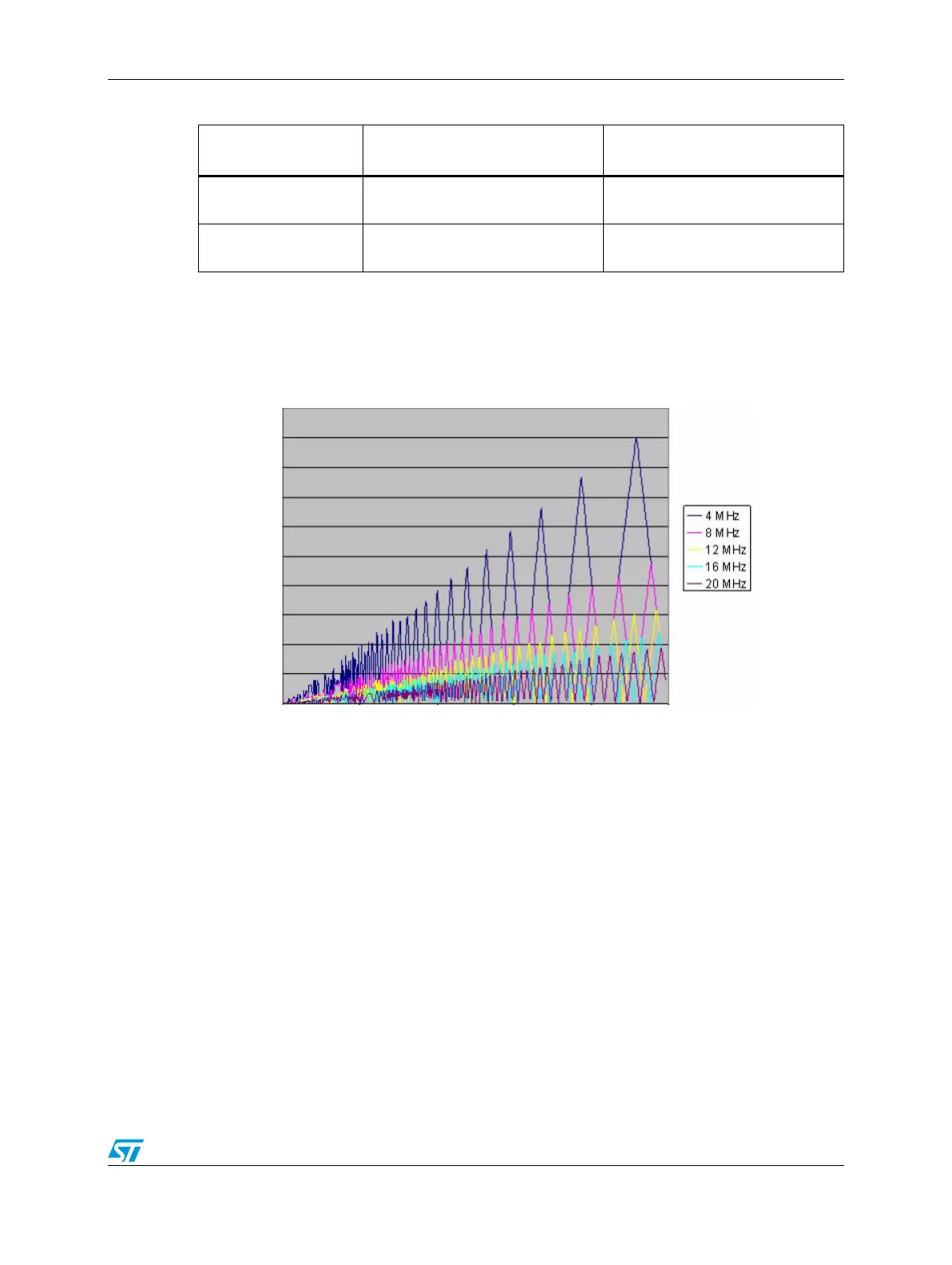
Higher baud rates high may be used, but the user will be required to ensure they fall within
an acceptable error range. This is illustrated in Figure 490, which shows the effect of
quantization error on the baud rate selection.
Figure 490. Baud rate deviation between host and SPC560P40/34
Example 18Baud rate calculation for 250 kBaud signal
Considering reception of a 250kBaud signal from the host and SPC560P40/34 operating
with a 4 MHz oscillator. Over 9 bits the time base will measure: (9 × 4e6)/250e3 =
144 cycles.
Thus, LINIBB is set to 144/144 = 1. This results in a baud rate of exactly 250 kBd.
However, a slower 225 kBd signal operating with 4 MHz XTAL would again result in
LINIBB = 1, but this time with an 11.1% deviation.
16
51.2 Kbit/s
(SBR = 20)
120 bit/s
(SBR = 8192)
20
64.0 Kbit/s
(SBR = 20)
150 bit/s
(SBR = 8192)
Table 444. Maximum and minimum recommended baud rates (continued)
f
sys
=f
xtal
(MHz)
Max baud rate for guaranteed
<2.5% deviation
Min baud rate for guaranteed
<2.5% deviation
0 10000
Host baud rate
20000 30000 40000 50000
10.00
9.00
8.00
7.00
6.00
5.00
4.00
3.00
2.00
1.00
0.00
Baud rate deviation between host and device

Table of Contents

Related product manuals